수열과 점화식
학습 이유
데이터사이언스에서 연속적인 개념을 근사적으로 표현할 때 자주 등장
특히 수열의 점화식과 극한은 반복적이고 순차적인 데이터에 특화된 순환신경망 분석에서 매우 중요
수열(sequence)
정해진 규칙에 따라 차례대로 나열한 수
등차수열(arithmetic sequence)
두 항의 차가 일정한 수열
첫번째 항 a에 차례로 공차(common difference) d를 더해서 만든 수열

등비수열(geomoetric sequence)
두 항의 비가 일정한 수열
첫번째 항 a에 차례로 공비(common ratio) r을 곱해서 만든 수열
일반적으로 공비 r 은 0이 아니다.


그외 수열들
자연수 거듭제곱의 합

수열의 점화식(recurrence formula)
주어진 수열 {a_n} 의 이웃하는 여러 항 사이의 관계식을 나타낸 것

유형 1. 연속된 두 수열의 차이가 어떤 수열인 점화식

이때 b_n을 계차수열(difference sequence), {a_n}을 계차수열을 갖는 수열(sequence with difference sequence)라고 한다.
n에 1부터 차례대로 대입한 뒤 양변을 모두 더하고 정리하면 일반항이 도출된다.

유형2. 연속된 두 항의 비가 수열을 이루는 경우

n에 1부터 차례대로 대입한 뒤 곱하며 정리하면 일반항을 구할 수 있다.

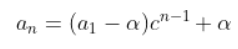
유형3.

먼저 아래와 같은 형식으로 식을 바꾼다.

그리고 n=1부터 대입후 곱하여 정리하면 일반항을 구할 수 있다.


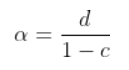
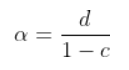
이때 alpha는 대입을 통해서 구할수도 있고, 아래 공식으로 구할수도 있다.

'Basic for AI > 통계 & 수학' 카테고리의 다른 글
| 아핀 변환 (Affine Transformation) (2) | 2025.08.07 |
|---|---|
| 피어슨 상관계수 (0) | 2023.07.10 |
| 정보이론(Information Content) (1) | 2023.07.06 |
| [선형대수학] 행렬 까먹은 내용 재정리 (0) | 2023.01.31 |
| 벡터의 선형종속과 선형독립, 기저 (0) | 2022.11.23 |